Generic selectors
Exact matches only
Search in title
Search in content
Post Type Selectors
post
page

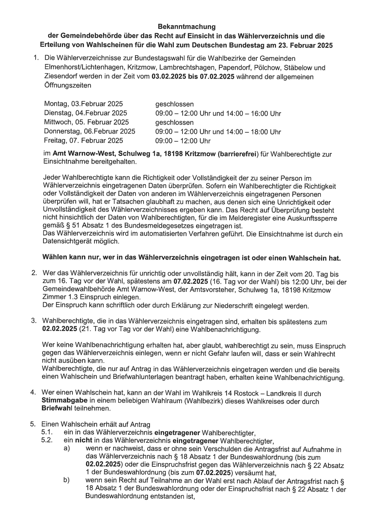
Bekanntmachung der Gemeindebehörde über das Recht auf Einsicht in das Wählerverzeichnis und die Erteilung von Wahlscheinen für die Wahl zum Deutschen Bundestag am 23. Februar 2025

Veröffentlicht am: 28. Januar 2025 vom Amt Warnow-West

Öffnungszeiten des Amtes

Dienstag: 9–12 und 14–16 Uhr
Donnerstag: 9–12 und 14–18 Uhr
Freitag: 9–12 Uhr
(keine Terminvereinbarung notwendig!)

Anschrift

Amt Warnow-West
Schulweg 1a
18198 Kritzmow
Telefon 038207 633-0
Telefax 038207 633-29
E-Mail: amt@warnow-west.de

Auf dem MV Serviceportal finden Sie weitere Informationen zu allen Fachbereichen, Ansprechpartner, Services und Formulare

Satzungen des Amtes

Auf dem MV Serviceportal finden Sie weitere Informationen zu allen Fachbereichen, Ansprechpartner, Services und Formulare